Объем многогранника
Объем параллелепипеда
равен V. Найдите объем многогранника, вершинами которого
являются центры граней данного параллелепипеда.
Если u — это найденный Вами объем, то в поле ответа укажите число
12 • u
---------
V
Help! Т^Т
дедлайн (14.05.2020 23:00)
Приложения:

Ответы
Ответ дал:
0
Ответ:
2
Объяснение:
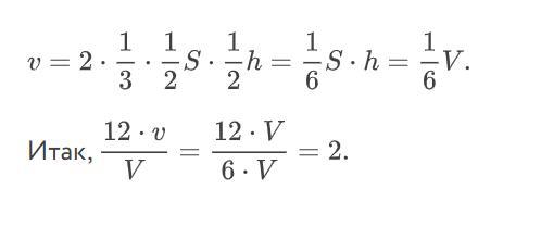
Пусть S — площадь основания параллелепипеда, h — высота параллелепипеда.
Многогранник, вершинами которого являются центры граней данного параллелепипеда, состоит из двух четырёхугольных пирамид с общим основанием, площадь которого равна половине площади основания параллелепипеда, а высота каждой пирамиды равна половине высоты параллелепипеда.
Таким образом, если υ— искомый объём многогранника, то:
Приложения:

Вас заинтересует
1 год назад
1 год назад
1 год назад
1 год назад
3 года назад
3 года назад