• Предмет: Математика
  • Автор: lazeron09
  • Вопрос задан 2 года назад

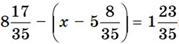
Помогите пожалуйста. Прикрепил файл.

Приложения:

Ответы

Ответ дал: Maxxxim228
1

Ответ:

x=422/35

Пошаговое объяснение:

1. Представляем смешанную дробь в виде неправильной:

297/35-(x-5 8/35)=1 23/35

2. Представляем смешанную дробь в виде неправильной:

297/35-(x-183/35)=1 23/35

3. Представляем смешанную дробь в виде неправильной:

297/35-(x-183/35)=58/35

4. Когда пред скобками стоит знак "-" изменяем знак каждого числа:

297/35-x+183/35=58/35

5. Складываем дроби:

96/7-x=58/35

6. Переносим постоянную в правую часть и сменим её знак:

x=58/35-96/7

7. Вычитаем дроби:

-x=-422/35

8. Изменяем знаки в обеих частях уравнения:

x=422/35

Ответ:x=422/35

Вас заинтересует