• Предмет: Алгебра
  • Автор: Roza042604
  • Вопрос задан 2 года назад

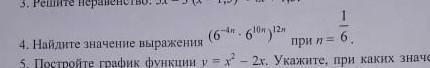
помогите кто-нибуууудь !!!пожалуйста...задание 4 ​

Приложения:

Ответы

Ответ дал: YouAreAmazing
1

(6^{-4n} * 6^{10n})^{12n} = (6^{6n})^{12n}=6^{72n^2}\\n = \frac{1}{6}  \\ \\n^2= \frac{1}{36} \\6^{\frac{72}{36} = 6^{2} = 36

Вас заинтересует