Ответы
Ответ дал:
0
Ответ:
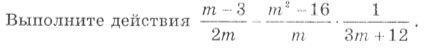
Объяснение:фото ниже
Приложения:

Ответ дал:
0
Решение :

Объяснение :
Объяснение :
Вас заинтересует
1 год назад
1 год назад
3 года назад
3 года назад
8 лет назад