Ответы
Ответ дал:
0
Ответ:
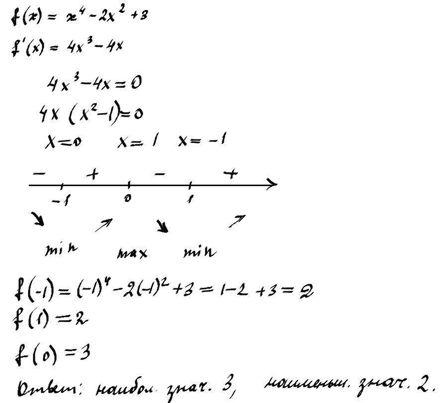
вот ответ ) ......................
Объяснение:
Приложения:

Ответ дал:
0
да
Ответ дал:
0
х^4-2х^2-3, а не +3
Вас заинтересует
2 года назад
2 года назад
3 года назад
3 года назад
8 лет назад
9 лет назад
9 лет назад