Ответы
Ответ дал:
0
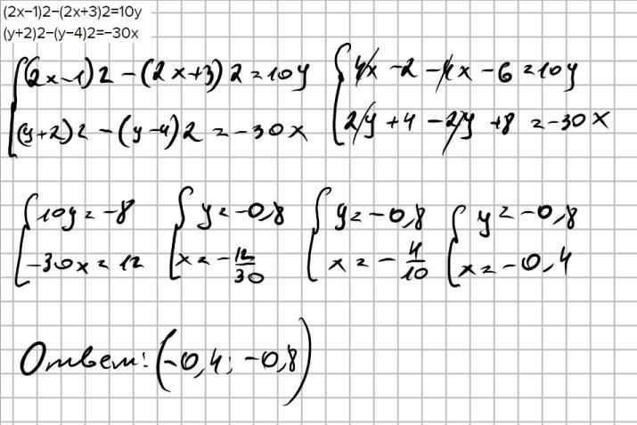
Відповідь: (-0,4 ; -0,8)
Пояснення:
Приложения:


Ответ дал:
0
Ответ:
(-0,4;-0,8)
Объяснение:
Приложения:

Вас заинтересует
1 год назад
1 год назад
1 год назад
1 год назад
3 года назад
3 года назад