• Предмет: Геометрия
  • Автор: ToRi737
  • Вопрос задан 2 года назад

СРОЧНО нужно решить . ​

Приложения:

Ответы

Ответ дал: artemdomarev9
1

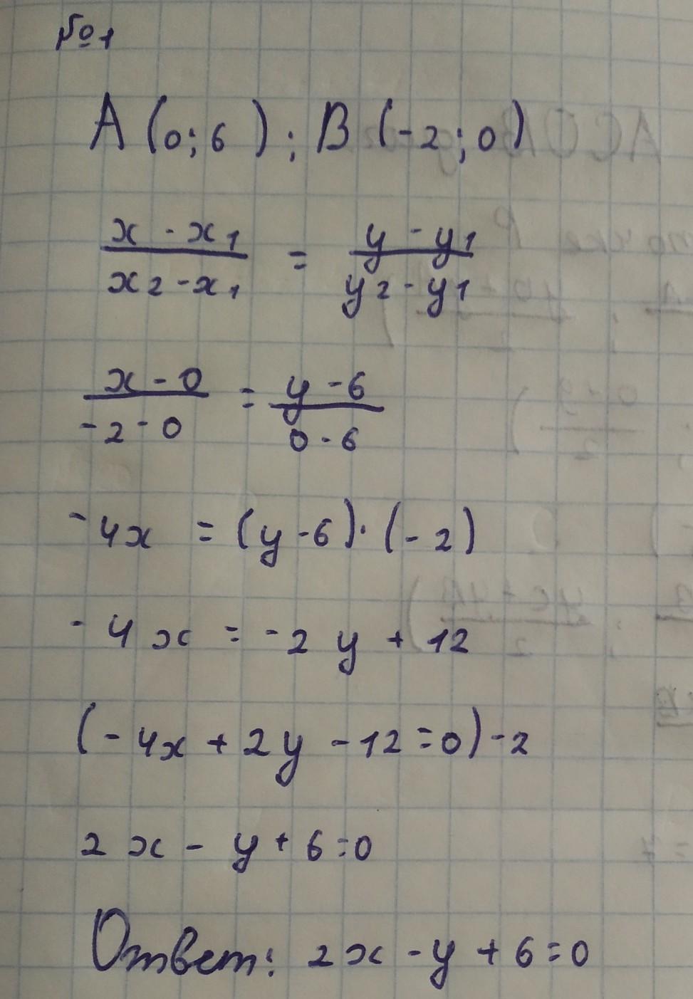
Ответ на фото . 100 процентов правильно.

Приложения:
Вас заинтересует