• Предмет: Алгебра
  • Автор: миняша123
  • Вопрос задан 2 года назад

Срочно, нужна помощь!

Приложения:

Ответы

Ответ дал: Atom273
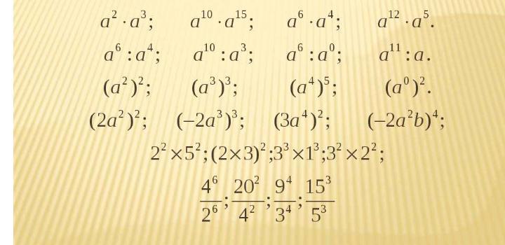
1

Ответ:

а⁵; а²⁵; а¹⁰; а¹⁷.

а²; а⁷; а⁶; а¹⁰.

а⁴; а⁹; а²⁰; 0.

4а⁴; -6а⁹; 6а⁸; 8а⁸b⁴.

Объяснение:

Вас заинтересует