• Предмет: Алгебра
  • Автор: rokilml
  • Вопрос задан 2 года назад

Реши уровнения 1) х4+2х²-8=0
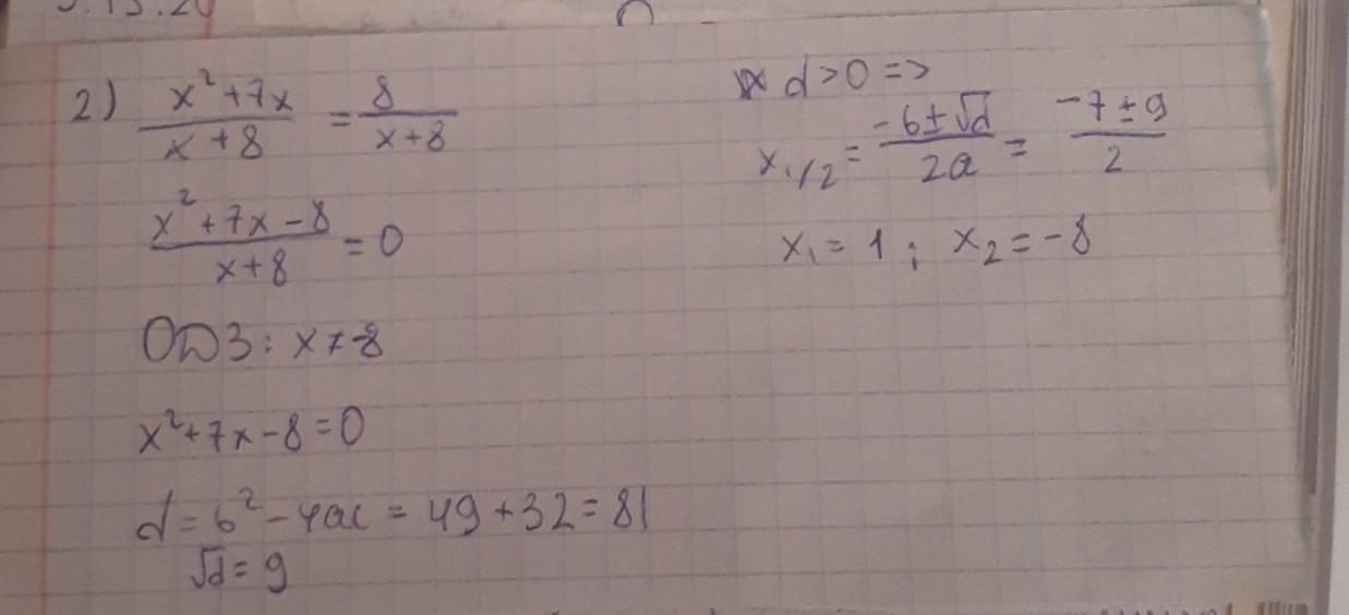
2)х²+7х/х+8=8/х+8 сократить дробь 2а+9а-5/а²-25

Ответы

Ответ дал: lin0806
0

Ответ:

пусть x^2=t . тогда:

t^2+2x-8=0

d=b^2-4ac=36 корень из d = 6

d>0 => x1/2 =-b+- корень из d/2a = -2+-6/2

x1= 2

x2 = -4

2) решение на фото

3) не знаю как решить, прости:(

Приложения:
Вас заинтересует