• Предмет: Математика
  • Автор: KETTI11
  • Вопрос задан 2 года назад

Помогите решить уравнение

Приложения:

Ответы

Ответ дал: posibypro
1

Ответ:

Пошаговое объяснение:

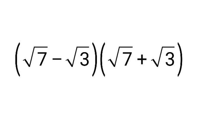
1) По формуле (a-b)(a+b)=a²-b² пишем:

(√7-√3)(√7+√3) = √7²-√3² = 7 - 3 = 4

Вас заинтересует