• Предмет: Алгебра
  • Автор: scherbininavar
  • Вопрос задан 2 года назад

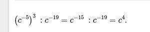
Представьте в виде степени выражение (c^-5)^3:c^-19​

Ответы

Ответ дал: woow171218
1

Ответ:

ответ в файле....................................

Приложения:
Вас заинтересует