• Предмет: Алгебра
  • Автор: manana0707
  • Вопрос задан 2 года назад

Решить тождество!!! Пожалуйста!!!

Приложения:

Ответы

Ответ дал: sangers1959
1

Ответ:

Объяснение:

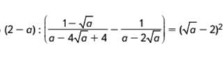
(2-a):(\frac{1-\sqrt{a} }{a-4\sqrt{a}+4 }-\frac{1}{a-2\sqrt{a} })  =(2-a):(\frac{1-\sqrt{a} }{(\sqrt{a})^{2} -2*\sqrt{a}*2+2^{2}  }-\frac{1}{a-2\sqrt{a} } )=\\ =(2-a):(\frac{1-\sqrt{a} }{(\sqrt{a}-2)^{2}  } -\frac{1}{\sqrt{a}*(\sqrt{a}-2 )}  } )=(2-a):\frac{\sqrt{a}*(1-\sqrt{a)}-(\sqrt{a} -2) }{\sqrt{a}*(\sqrt{a} -2)^{2} }=\\(2-a):\frac{\sqrt{a}-a-\sqrt{a}+2  }{\sqrt{a}*(\sqrt{a} -2)^{2}}=(2-a):\frac{2-a}{\sqrt{a}*(\sqrt{a} -2)^{2}} =\frac{(2-a)*\sqrt{a}*(\sqrt{a}-2)^{2}   }{2-a}=

=\sqrt{a}*(\sqrt{a}-2)^{2}.

Вас заинтересует