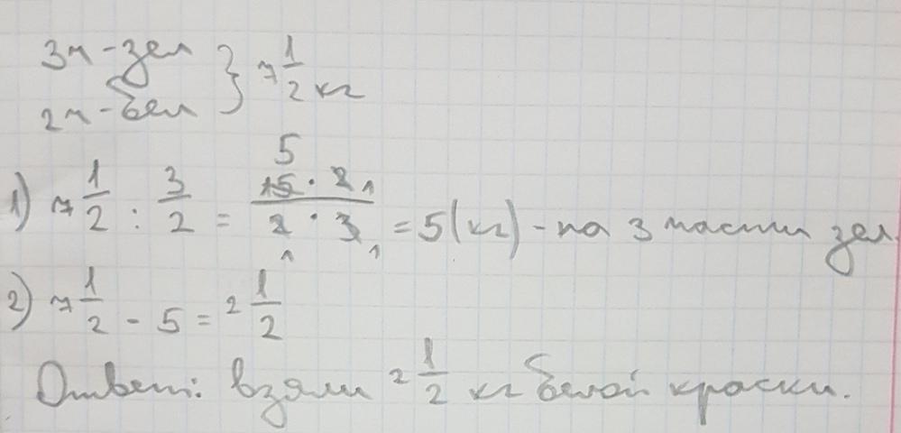
Для получения нужного оттенка на 3 части зеленой краски взяли 2 части белой. Сколько кг белой краски взяли если получили 7 целых 1/2 кг краски нужного оттенка?
/ - ДРОБЬ
ПОМОГИТЕ СРОЧНО ДАЮ 25 БАЛЛОВ!!!
Ответы
Ответ дал:
1
Ответ: отметь как лучший плиз)
Пошаговое объяснение:
Приложения:

macsimtomshin:
Хорошо
Вас заинтересует
1 год назад
1 год назад
1 год назад
3 года назад
3 года назад
8 лет назад