• Предмет: Алгебра
  • Автор: oltaevgenij
  • Вопрос задан 2 года назад

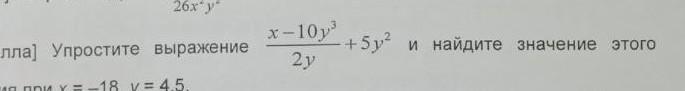
упростите выражение и найдите его значение​

Приложения:

Ответы

Ответ дал: starshinovaeka90
0

Ответ:

Объяснение:

x-10y³+10y³/2y²

(сокращаем противоположные )

x/2y

если x= -1.8, а y =4.5, то -1.8/2·4.5=-0.2

Вас заинтересует