• Предмет: Математика
  • Автор: likabi2233
  • Вопрос задан 2 года назад

Помогите решить уравнение способом подстановки

Приложения:

Аноним: Всего учеников - 20+6+4=30
любят мороженое - 20 это будет 3/2
любят конфеты - 6 это будет 1/5
любят пирожные - 4 это будет 2/15
Чертишь круг, сначала делишь его на 3 части отмечаешь 1 часть - это будут те кто любит мороженое, потом на 5 частей и отмечаешь 1 часть - это будут те кто любит конфеты, а оставшаяся часть будет те кто любит пирожные

Подробнее - на Znanija.com - https://znanija.com/task/22104333#readmore
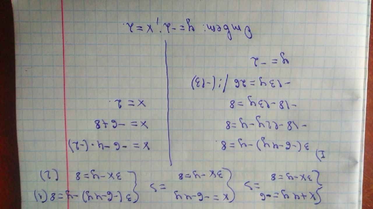
Аноним: Ответ системы: х-2; у=- 2.
Аноним: х=2; у=-2.

Ответы

Ответ дал: хакер25
0

Ответ:

во вложение

Пошаговое объяснение:

Приложения:

panterasq: в условии х + 4у= - 6
хакер25: зашибись шрифт
хакер25: ща переделаю
хакер25: грузится файл
хакер25: готово
Ответ дал: Аноним
0

Ответ:х=2 ; у=- 2

Пошаговое объяснение:

х+4у=-6

3х-у=8

х=-6-4у.

Подставляем во второе уравнение.

3(-6-4у)-у=8

-18-12у-у=8

-13у=26.

у=  -2.

х=-6-4(-2)=-6+8=2

Вас заинтересует