• Предмет: Алгебра
  • Автор: Новиков007
  • Вопрос задан 2 года назад

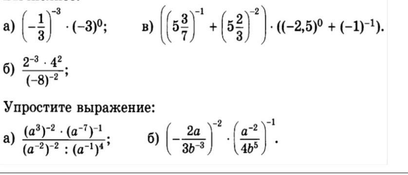
Алгебра 100 балов!!! ​

Приложения:

Ответы

Ответ дал: NikerDS
1

Ответ:а) -6 б) -23 в)56 2.а)382 б)494

Вас заинтересует