• Предмет: Алгебра
  • Автор: Sonya3D
  • Вопрос задан 2 года назад

срочно прошу вас,меня убьёт училка

Приложения:

Ответы

Ответ дал: aleksandrdoshirak
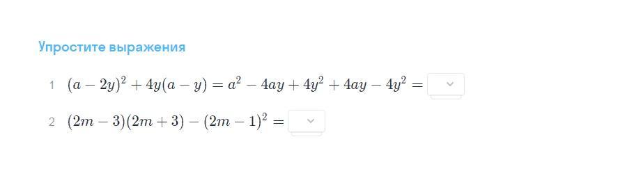
1

1) (а-2у)^2 +4у(а-у)=а^2 - 4ау+4у^2 +4ау-4у^2 =а^2

2)(2m−3)(2m+3)−(2m−1)^2 = 4m^2-9-(4m^2-4m+1)=4m^2-9-4m^2+4m-1=4m-10

Вас заинтересует