Ответы
Ответ дал:
1
Ответ:
x = - (∛4) / 2
Пошаговое объяснение:
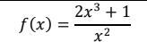
f(x) =
f(x) = 0
= 0
2x^3 + 1 = 0
x = - (∛4) / 2
Ответ дал:
2
Ответ:
x=
Пошаговое объяснение
вместо x подставляем 0
Приложения:


Вас заинтересует
1 год назад
1 год назад
3 года назад
3 года назад
8 лет назад
8 лет назад