• Предмет: Геометрия
  • Автор: daaily
  • Вопрос задан 2 года назад

!!!!!!!!!!!!!!!!!!!!!!!!!!!!!!!!!!!!!!!!!!!!!!!!!
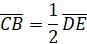
Отрезок DE-средняя линия треугольника ABC. Какое из приведённых равенство является правильным?

Приложения:

Ответы

Ответ дал: Аноним
2

Правильное:

СВ = 2DE (по свойству средней линии)

Вас заинтересует