Ответы
Ответ дал:
1
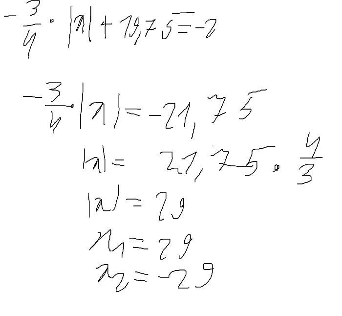
Ответ:
x1 = 29 x2 = -29
Пошаговое объяснение:
Если не понятен подчерк, то добавьте комментарий я распишу подробнее.
Приложения:

Вас заинтересует
1 год назад
1 год назад
1 год назад
1 год назад
3 года назад
3 года назад
8 лет назад