Ответы
Ответ дал:
0
(прикреплю файл с ответами)
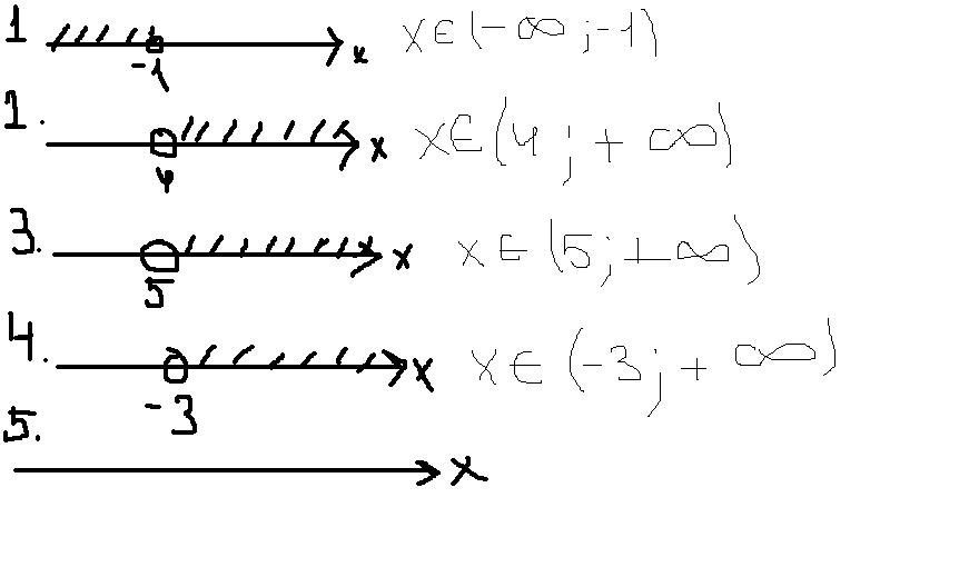
1. 2x+6>4x-8
2x-4x>8-6
-2x>2
x<2/(-2)
x<-1
2. 5x-7>x+9
5x-x>9+7
4x>16
x>16/4
x>4
3. 2x+7<4x-3
2x-4x<-3-7
-2x<-10
x>-2/(-10)
x>5
4.
3x+7<6x+16
3x-6x<16-7
-3x<9
x>9/(-3)
x>-3
5.
как второе, может опечатка??
1. 2x+6>4x-8
2x-4x>8-6
-2x>2
x<2/(-2)
x<-1
2. 5x-7>x+9
5x-x>9+7
4x>16
x>16/4
x>4
3. 2x+7<4x-3
2x-4x<-3-7
-2x<-10
x>-2/(-10)
x>5
4.
3x+7<6x+16
3x-6x<16-7
-3x<9
x>9/(-3)
x>-3
5.
как второе, может опечатка??
Приложения:
Вас заинтересует
3 года назад
8 лет назад
8 лет назад
11 лет назад
11 лет назад