• Предмет: Алгебра
  • Автор: sonua2006malakhova
  • Вопрос задан 2 года назад

Пожалуйста, помогите!!!
Осталось мало времени
За правильный ответ дам 25 баллов
Помогите, заранее спасибо ☀️

Условие задания:
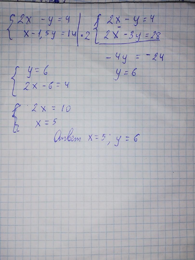
Реши систему уравнений:
х — у = 4
x — 1,5y = 14

Приложения:

Ответы

Ответ дал: ilmatovsergey
1

Ответ:

x=5 у=6, решение на фотке

Приложения:
Вас заинтересует