• Предмет: Алгебра
  • Автор: 22334543
  • Вопрос задан 2 года назад

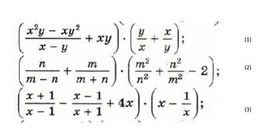
УПРОСТИТЬ
пожалуйста, помогите​

Приложения:

Ответы

Ответ дал: Evgenia4836
1

Решение во вложении:

Приложения:
Вас заинтересует