Ответы
Ответ дал:
0
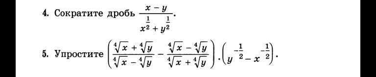
x = (Vx)^2
у = (Vy)^2
в числителе формула ---разность квадратов...
x-y = (Vx-Vy)(Vx+Vy)
x^(1/2) = Vx
y^(1/2) = Vy
дробь можно сократить...
ответ: Vx-Vy
у = (Vy)^2
в числителе формула ---разность квадратов...
x-y = (Vx-Vy)(Vx+Vy)
x^(1/2) = Vx
y^(1/2) = Vy
дробь можно сократить...
ответ: Vx-Vy
Вас заинтересует
3 года назад
11 лет назад
11 лет назад
11 лет назад