• Предмет: Алгебра
  • Автор: lybasidorenko59598
  • Вопрос задан 2 года назад

Пожалуйста поможеть!!))​

Приложения:

Ответы

Ответ дал: katyaruben22222
3

Ответ:

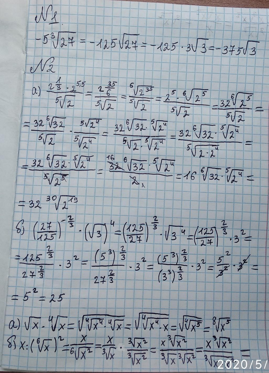
1)-375√3

2)а)32³⁰√2¹⁹;б)25

2)а)⁸√х⁵;б)³√х²

Приложения:

katyaruben22222: а что там
katyaruben22222: у меня счас 0:02 часов
lybasidorenko59598: у меня 22:04 час
katyaruben22222: ты в Украине живешь?
katyaruben22222: или России?
lybasidorenko59598: да мне Украине
katyaruben22222: ясно
katyaruben22222: я в Узбекистане
lybasidorenko59598: мне дома живёшь сахновщина)
lybasidorenko59598: поняла
Вас заинтересует