• Предмет: Математика
  • Автор: Zagudayylov
  • Вопрос задан 11 лет назад

Помогите решить 127 б) плллллииииииззз

Приложения:

Ответы

Ответ дал: bymalika
0
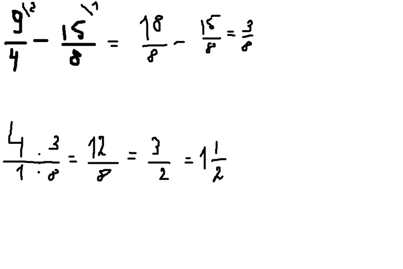
надеюсь, что все понятно, первое действие - это перевод в неправильную дробь
а три четвертых или одна целая, одна вторая - конечный ответ
Приложения:
Ответ дал: meowizzi
0
4*(9/4-15/8)=4*(18/8-15/8)=4*3/8=12/8=3/2=1 1/2
Приложения:
Вас заинтересует