• Предмет: Алгебра
  • Автор: Пёс15
  • Вопрос задан 2 года назад

СРОЧНО!!! ПОМОГИТЕ РЕШИТЬ

Приложения:

Ответы

Ответ дал: Vvxich
1

Відповідь:

Пояснення:

розкрити душки

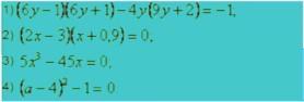
1) 36у²-1-36у²-8=-1

-1-8у=-1

-8у=0

у=0

2) 2х-3=0    х-0,9=0

    х=3/2           х=0,9

3) виносим спільний множник

5х * (х-9)=0

5х=0  

х1=0

х-9=0    

х2=9

4) піднесеня до квадрата

а²-8а+16-1=0

а²-8а+15=0

Д.=8²-4*(15)

д=4

√д=2

а1=(8+2)÷2=5

а2=(8-2)÷2=3

Вас заинтересует