СРОЧНО.АЛГЕБРА
1. ㏒₃ 2/㏒₃7 + 16㏒₄ 13(это 16 в степени ) + ㏒₇ 0,5
oganesbagoyan:
что означает 16㏒₄ 13(это 16 в степени ) ? 16㏒₄ 13¹⁶ ?
Ответы
Ответ дал:
0
https://znanija.com/task/37013539
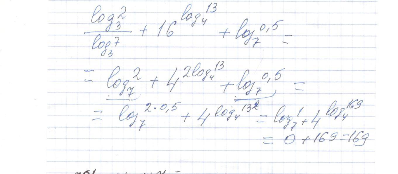
1. ㏒₃ 2/㏒₃7 + 16^(㏒₄ 13) + ㏒₇ 0,5
решение: ㏒₃ 2/㏒₃7 + 16^(㏒₄ 13) + ㏒₇ 0,5 =
㏒₃ 2/㏒₃7 + ㏒₇ 0,5 + 4²^(㏒₄ 13) =㏒₇ 2 + ㏒₇ 0,5 +4^(2㏒₄ 13) =
= ㏒₇ (2 *0,5) +4^(㏒₄ 13²) = ㏒₇1 +4^ ( ㏒₄ 169 ) = 0 + 169 =169
ответ: 169
см вложение
Приложения:

Вас заинтересует
1 год назад
1 год назад
1 год назад
1 год назад
3 года назад
3 года назад
8 лет назад