• Предмет: Математика
  • Автор: proffme
  • Вопрос задан 2 года назад

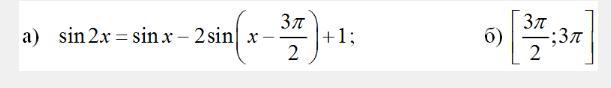
Найдите все корни этого уравнения, принадлежащие промежутку

Приложения:

proffme: 1 картинка б)[1; корень из 5]

Ответы

Ответ дал: olichka05056
0

на картинке ответ )) ......

Приложения:
Вас заинтересует