• Предмет: Алгебра
  • Автор: Аноним
  • Вопрос задан 10 лет назад

ПОМОГИТЕ пожалуйста решить пример!!!!!!!!
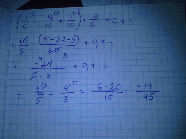
 (1/6-16/15+1/10):0.6+0.4

Ответы

Ответ дал: prostomama1
0
Ответ смотри на фото решение на листе
Приложения:
Ответ дал: Аноним
0
ОГРОМНОЕ СПАСИБО!!!!!!!!!!!!!!!
Вас заинтересует