Неможу розв'язати приклади, скоро контрольна а я не знаю як їх розв' язувати допоможіть будь ласка

Ответы
Ответ:
Пошаговое объяснение:
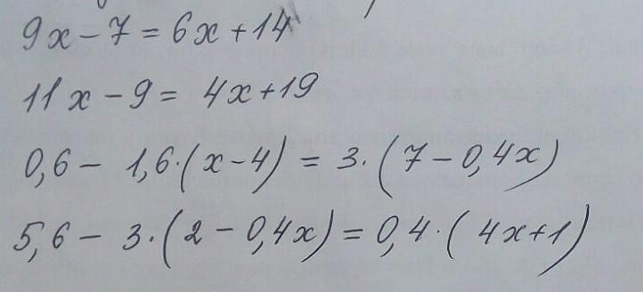
9х-7=6х+14
Нужно перенести все числа с иксом в левую сторону,а все числа в правую от знака =
Когда переносите любое число через знак равно (=),перед числом нужно поменять знак был плюс (+) станет минус (-)
9х-7=6х+14
Перенесем 6х к числу 9х со знаком -
9х-6х-7=14
Перенесем (-7) за знак равно к числу 14 со знаком +
9х-6х=14+7
Сложим или отнимаем
3х=21
Правило на нахождение неизвестного множителя
ЧТОБЫ найти неизвестный множитель нужно произведение разделить на известный множитель
3х=21
х=21:3
х=7
Теперь запишу без записей.
9х-7=6х+14
9х-6х=14+7
3х=21
х=21:3
х=7
Ответ: 7
Следующий я не буду объяснять,но числа со знаками буду выделять в скобках, чтобы вы видели как меняется знак при переносе через знак равно (=)
11х(-9)=(+4х)+19
11х-4х=19+9
7х=28
х=28:7
х=4
Ответ: 4
0,6-1,6(х-4)=3(7-0,4х)
Нужно открыть скобки.
0,6-1,6×х-1,6×(-4)=3×7-3×0,4х
0,6-1,6х+6,4=21-1,2х
Сложим (+6,4) и (+ 0,6)
(7)-1,6х=21(-1,2х)
То что в скобках перенесем за знак равно и поменяем знаки
-1,6х+1,2х=21-7
Если стоят два числа с разными знаками, нужно от большего отнять меньшее и поставить знак большего числа
-0,4х=14
-х=14:0,4
Правило деления
Нужно запятую перенести в право и в делимом и делителе
Т.е. 140:4
-х=140:4
-х=35
Этот минус перед х уйдет числу 35, т.е. мы умножили и правую и левую часть на (-1)
х=-35
Ответ:-35
Запишу этот пример, но без записей
0,6-1,6(х-4)=3(7-0,4х)
0,6-1,6х+6,4=21-1,2х
7-1,6х=21-1,2х
-1,6х+1,2х=21-7
-0,4х=14
-х=14:0,4
-х=140:4
-х=35
х=-35
Ответ: - 35
Попробуйте решить последний сами, если не получится,то напишите, в сообщении и мы посмотрим, что именно у вас не получилось и мы перерешаем.