• Предмет: Алгебра
  • Автор: soldatovarseniy3
  • Вопрос задан 2 года назад

АЛГЕБРА 7 КЛАСС, ПОМОГИТЕ!!!!

Приложения:

Ответы

Ответ дал: UncleGreg
1

Ответ:

-2801

Объяснение:

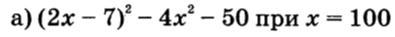
Упростим выражение:

(2x - 7)² - 4x² - 50 =

= 4x² - 28x + 49 - 4x² - 50 =

= -28x - 1 =

Подставим x = 100

= -2800 - 1 =

= -2801


soldatovarseniy3: Спасибо!
Вас заинтересует