• Предмет: Алгебра
  • Автор: Nastyaaaahm
  • Вопрос задан 2 года назад

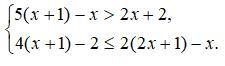
День добрый. Решите пожалуйста систему неравенств

Приложения:

Ответы

Ответ дал: ananim8010
1

Может быть так, но это не точно

Приложения:
Ответ дал: mrn33nik
0

{ 5х+5-х>2х+2,

4х+4-2< 4х+2-х

-

{ 4х+5>2х+2,

4-2< 2х-х

-

{ 4х-2х>2-5,

2< 2-х

-

{ 2х>-3,

0< -х

-

{ х>-3/2,

- х < 0

-

Ответ: (-3/2;0]

P.S.

> <

- и - это больше или равно и меньше или равно

Вас заинтересует