• Предмет: Математика
  • Автор: Vovaaan33
  • Вопрос задан 2 года назад

Уравнение!!!!
Пожалуйста

Приложения:

Ответы

Ответ дал: akpanova2002
1

Ответ:

ответ икс равен - 9.7 ......

Приложения:
Ответ дал: planenaruto61
0

Ответ:

Пошаговое объяснение:

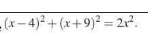
раскроем скобы получим:

x^2-8x+16+x^2+18x+81=2x^2

сократим все что сокращаемо:

10x+97=0

10x=-97

x=9.7

надеюсь помог

Вас заинтересует