• Предмет: Геометрия
  • Автор: dashaavataria2016
  • Вопрос задан 2 года назад

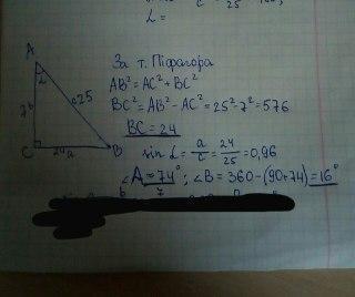
У трикутнику АВС кут С=90° АВ=25см АС=7см . РОЗВ'ЯЗАТИ ЦЕЙ ТРИКУТНИК ( с рисунком)

Ответы

Ответ дал: yasiadukhnenko
7

Ответ:

вс=24, А=74, В=16

Объяснение:

Приложения:
Вас заинтересует