• Предмет: Алгебра
  • Автор: elmirkaazizova2004
  • Вопрос задан 2 года назад

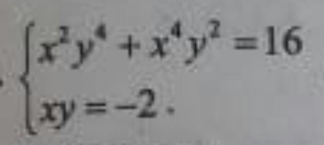
найдите х+у
Помогите с заданием!!! Пожалуйста​

Приложения:

Ответы

Ответ дал: jizzaxuzpca
0

Ответ:

x+y=0

Объяснение:

{x2y4+x4y2=16

{xy=-2

x2y2(y2+x2)=16

x2y2=4

4(y2+x2)=16

x2+y2=4

x2+2xy+y2-2xy=4

(x+y)2-2xy=4      xy=-2

(x+y)2-2*(-2)=4

(x+y)2+4=4  (x+y)2=0  x+y=0

Вас заинтересует