• Предмет: Алгебра
  • Автор: zgor76294
  • Вопрос задан 2 года назад

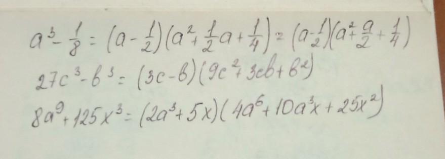
Прошу, разложите пожалуйста на множители) отдаю последнее

Приложения:

Ответы

Ответ дал: ergalievaamira
0

Ответ:

просто посмотри на фотку, (в ответе должно быть 20 символов)

Приложения:
Вас заинтересует