Ответы
Ответ дал:
0
Ответ:
Объяснение:
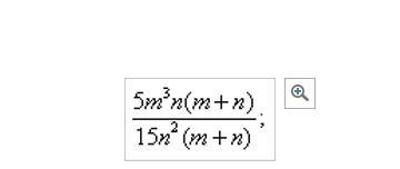
5m*m*m*n(m+n) / 15n*n(m+n)
Сократим (m+n)
5*m*m*m*n / 15n*n
Сократим на 5n
m*m*m / 3n
(m^3)/3n
Ответ дал:
0
Ответ: m3/3n
Объяснение:
Приложения:

Вас заинтересует
1 год назад
3 года назад
8 лет назад