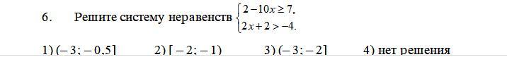
Ответы
Ответ дал:
1
Ответ:
.......................
Приложения:

Ответ дал:
1
Ответ:
Объяснение:папппппппшсгчшсщащчшашащащп
Приложения:

Вас заинтересует
1 год назад
1 год назад
1 год назад
1 год назад
3 года назад
8 лет назад