Составьте уравнения реакций, соответствующих схеме превращений
1 2 3
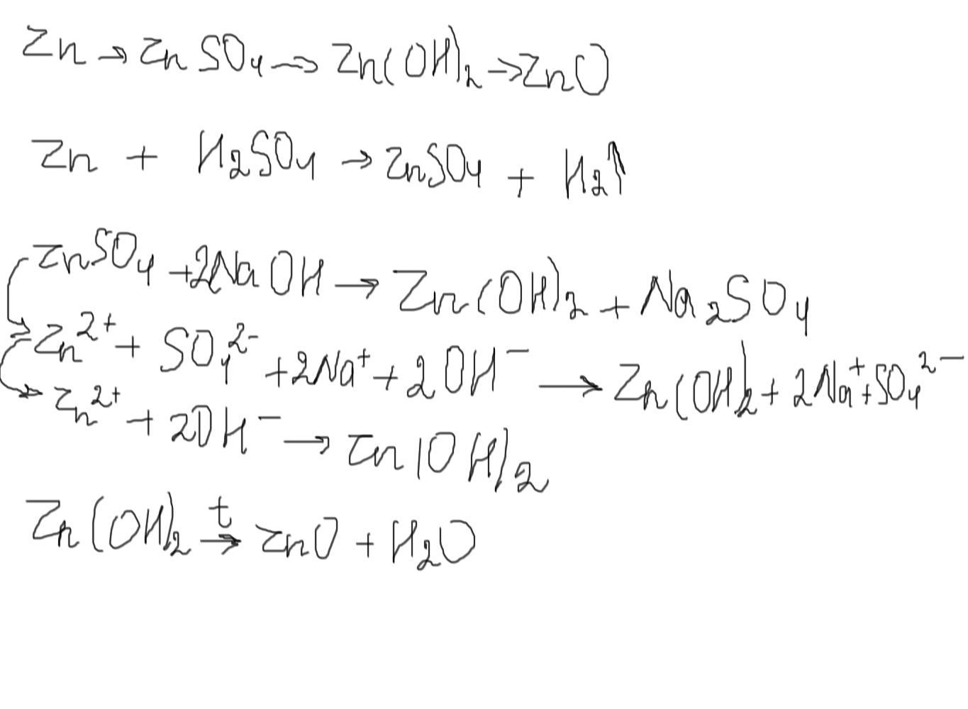
Zn→ ZnSO4 → Zn(OH)2 → ZnO
Для реакции № 2 составьте ионно-молекулярное уравнение реакции.
Ответы
Ответ дал:
1
Ответ во вложении...
Приложения:

DashkaQ:
Спасибо огромное вам, а можно ещё попросить решить?
Вас заинтересует
1 год назад
1 год назад
1 год назад
8 лет назад