• Предмет: Математика
  • Автор: tomma567
  • Вопрос задан 2 года назад

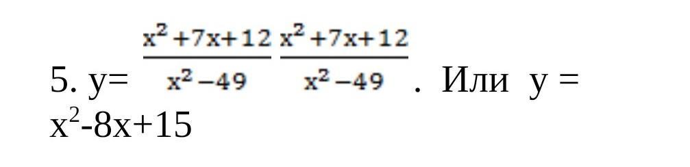
построить график функции​

Приложения:

Ответы

Ответ дал: ILBaekhyun
1

Ответ на фотографии!

Приложения:
Вас заинтересует