• Предмет: Алгебра
  • Автор: Andreymorozov22277
  • Вопрос задан 2 года назад

Помогите пожалуйста с алгеброй. Решите 2 примера с помощью метода введения новой переменной или метода замены переменной ​

Приложения:

Ответы

Ответ дал: monkeyme
0

Ответ:

4. x = 1 ; 2 ; 3 ; 4

5. x =  \frac{5+\sqrt{45}}{2} ; \frac{5-\sqrt{45}}{2} ; 3 ; 2

Объяснение:

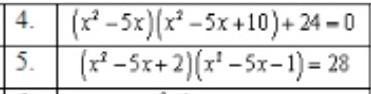
4. (x² - 5x)(x² - 5x + 10) + 24 = 0

Произведем замену: (x² - 5x) = t

Тогда: t(t + 10) + 24 = 0

t² + 10t + 24 = 0

D = 10² - 4·24 = 100 - 96 = 4

t_{1}=\frac{-10+\sqrt{4}}{2} =-4 ; t_{2}=\frac{-10-\sqrt{4}}{2} =-6

Произведем обратную размену: t = (x² - 5x)

• (x² - 5x) = -4

x² - 5x + 4 = 0

D = (-5)² - 4·4 = 25 - 16 = 9

x_1 = \frac{5+\sqrt{9}}{2}=4 ; x_2 = \frac{5-\sqrt{9}}{2}=1

• (x² - 5x) = -6

x² - 5x + 6 = 0

D = (-5)² - 4·6 = 25 - 24 = 1

x_3 = \frac{5+\sqrt{1}}{2}=3 ; x_4 = \frac{5-\sqrt{1}}{2}=2

Ответ: x = 1 ; 2 ; 3 ; 4

5. (x² - 5x + 2)(x² - 5x - 1) = 28

Произведем замену: x² - 5x = t

(t + 2)(t - 1) = 28

t² - t + 2t - 2 = 28

t² + t - 30 = 0

D = 1² - 4·(-30) = 1 + 120 = 121

t_{1}=\frac{-1+\sqrt{121}}{2} =5 ; t_{2}=\frac{-1-\sqrt{121}}{2} =-6

Произведем обратную размену: t = (x² - 5x)

• x² - 5x = 5

x² - 5x - 5 = 0

D = (-5)² - 4·(-5) = 25 + 20  = 45

x_1 = \frac{5+\sqrt{45}}{2} ; x_2 = \frac{5-\sqrt{45}}{2}

• (x² - 5x) = -6

x² - 5x + 6 = 0

D = (-5)² - 4·6 = 25 - 24 = 1

x_3 = \frac{5+\sqrt{1}}{2}=3 ; x_4 = \frac{5-\sqrt{1}}{2}=2

Ответ: x =  \frac{5+\sqrt{45}}{2} ; \frac{5-\sqrt{45}}{2} ; 3 ; 2

Вас заинтересует