• Предмет: Математика
  • Автор: dashasambyrskaya
  • Вопрос задан 2 года назад


Срочно помогите пожалуйста
Заранее огромное спасибо♥️

Приложения:

Ответы

Ответ дал: alexkorst
1

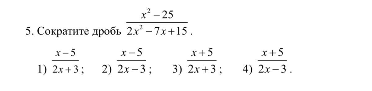
Ответ:

3)

Пошаговое объяснение:

1) x²-25=(x-5)(x+5)

2) 2x²-7x+15=(x-5)(2x+3)

3) Дальше сокращаешь x-5 в числители и знаменателе и получается вариант 3.

Вас заинтересует