Реши систему уравнений способом алгебраического сложения.
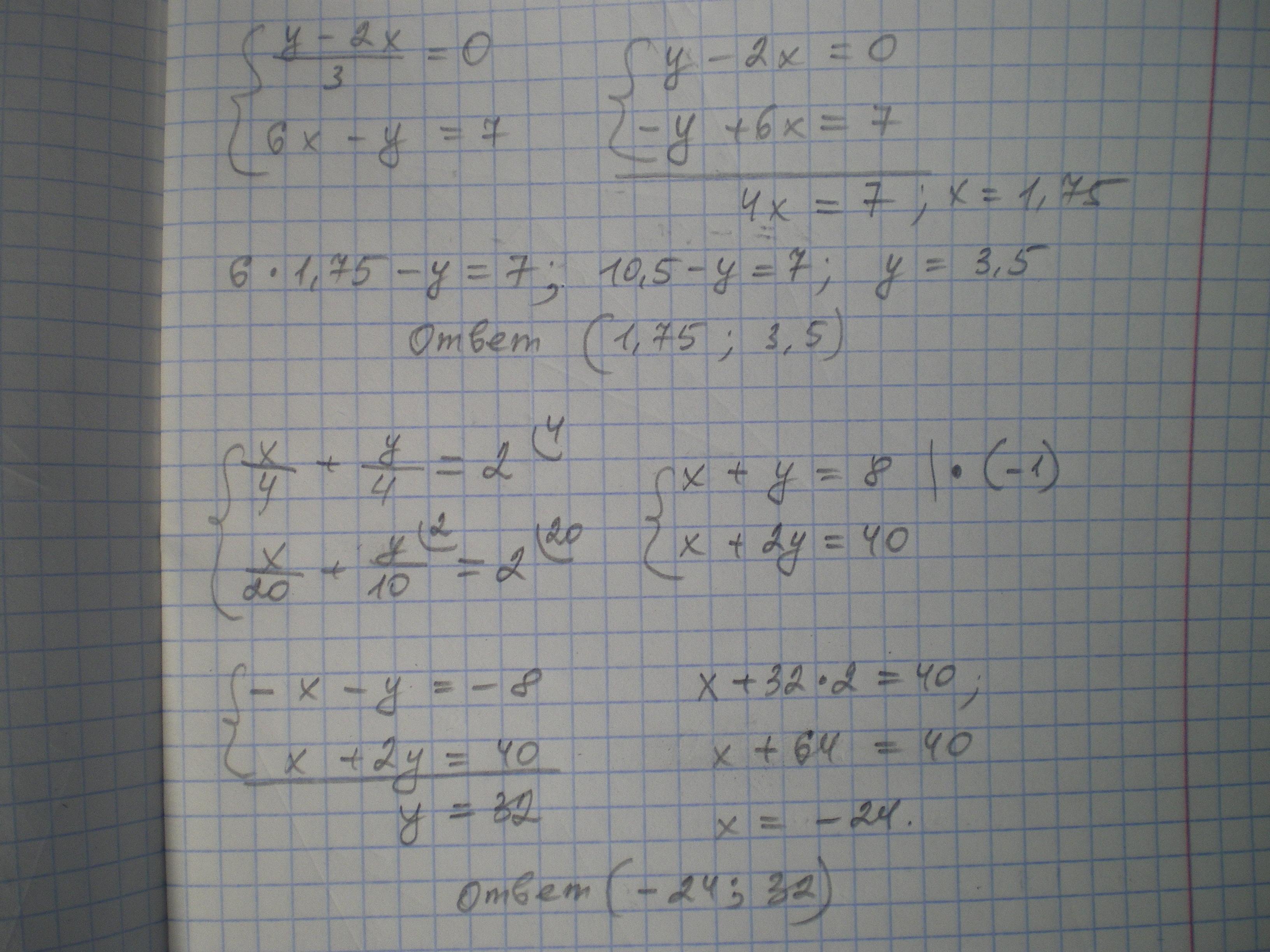
(y−2x):3=0
6x−y=7
Реши систему уравнений методом алгебраического сложения.
x/4+y/4=2
x/20+y/10=2
Ответы
Ответ дал:
0
Ответ:
(1,75; 3,5)
(-24; 32)
Объяснение:
Приложения:
Вас заинтересует
2 года назад
2 года назад
2 года назад
3 года назад
3 года назад
9 лет назад
9 лет назад