• Предмет: Математика
  • Автор: gummatmammadov
  • Вопрос задан 2 года назад

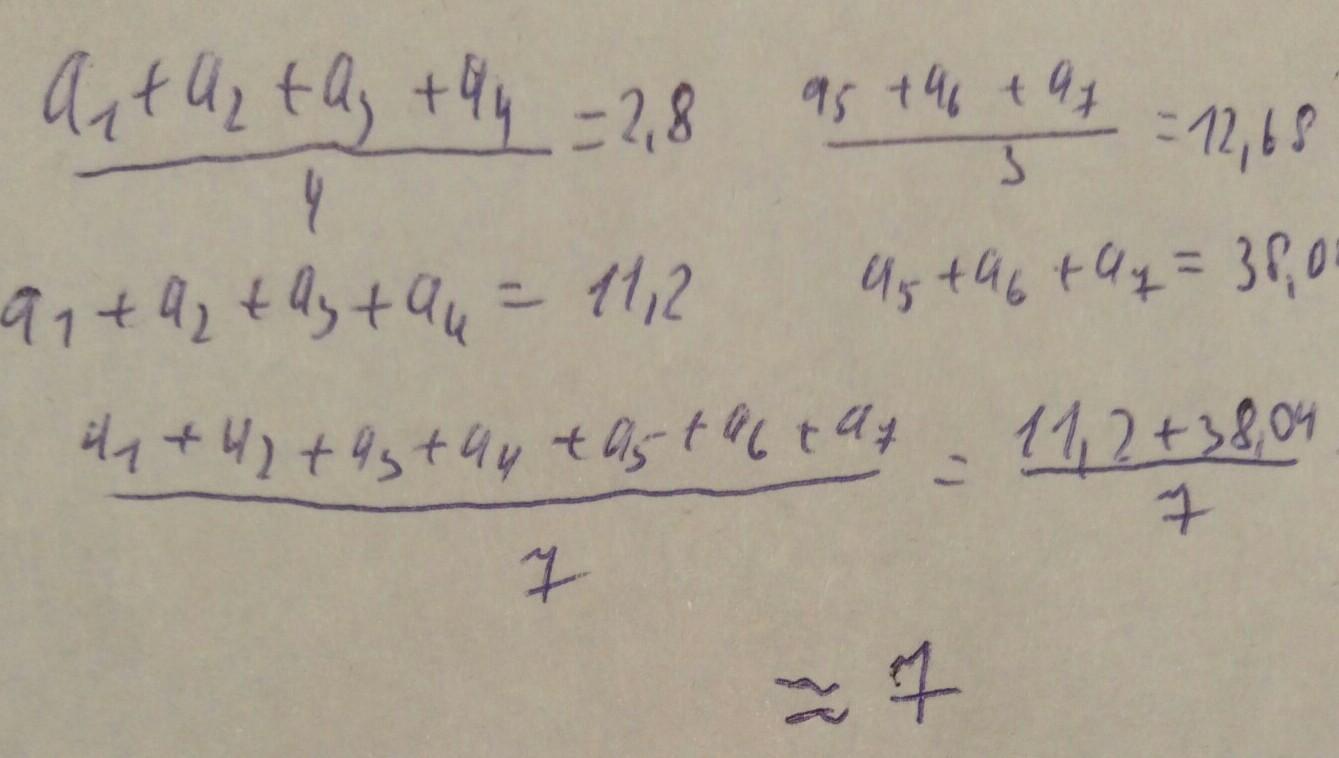
Среднее арифметическое четырёх чисел равно 2,8, а среднее арифметическое трёх других чисел – 12,68. Найдите среднее арифметическое всех этих чисел. Результат округлить до сотых.

Ответы

Ответ дал: dedmoped432
0

Пошаговое объяснение:

Вроде все правильно решил

Приложения:

gummatmammadov: ответ 7?
Ответ дал: Аноним
0

Ответ:

7,03

Пошаговое объяснение:

1) 2,8*4+12,68*3=49,24

2) 49,24:7≈7,03

Вас заинтересует