Ответы
Ответ дал:
1
Ответ:
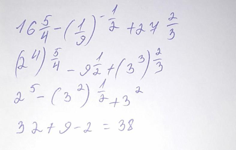
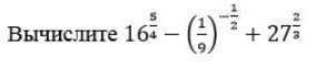
Ответ написан на фотографии
Приложения:

Вас заинтересует
1 год назад
1 год назад
1 год назад
1 год назад
3 года назад
3 года назад