• Предмет: Алгебра
  • Автор: yqvcj
  • Вопрос задан 2 года назад

Первый и шестой члены геометрической прогрессии соответственно равны 2 и -64. Найдите сумму десяти первых членов этой прогрессии. СРОЧНО!!!

Ответы

Ответ дал: sherlok123321
1

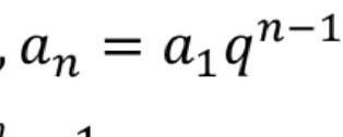
Чтобы найти коэффициент q, используем формулу: (см. рисунок 1):

 - 64 = 2 \times  {q}^{6 - 1}   \\  -  \frac{64}{2}   =  {q}^{5}  \\ q =  - 2

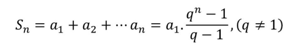
Тогда сумма десяти первых членов равна (см. рисунок 2):

s10 = 2 \times  \frac{ { - 2}^{10}   - 1}{ - 2 - 1}  =  - 682

Ответ: - 682.

Приложения:
Вас заинтересует