Ответы
Ответ дал:
2
Ответ:
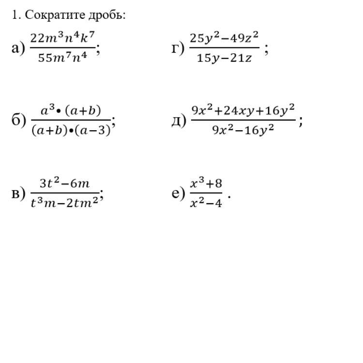
a) 2k^7/5m^4
б) a^3/(a-3)
в) 3/tm
г) (5y+7z)/3
д) (3x+4y)/(3x-4y)
е) (x^2-2x+4)/(x-2)
Объяснение:
Аноним:
Спасибо огромное за помощь
Ответ дал:
1
Ответ:
лови все решено рощокрлх
Приложения:


Вас заинтересует
2 года назад
2 года назад
2 года назад
7 лет назад
9 лет назад