• Предмет: Алгебра
  • Автор: abduragimova07
  • Вопрос задан 3 года назад

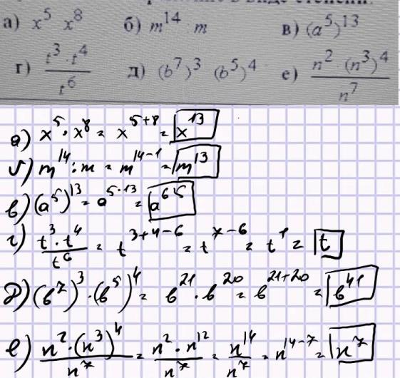
ребят ну пж пжп!!!!!!!!!!!!!!!!!вопрос жизни и смерти!!!!!!!!!!!!!!+!!!!!!!!!!!!!!!!​

Приложения:

anzed755: Ну... Глядя на это я понял что в вопросе жизни и смерти выигрывает смерть...

Ответы

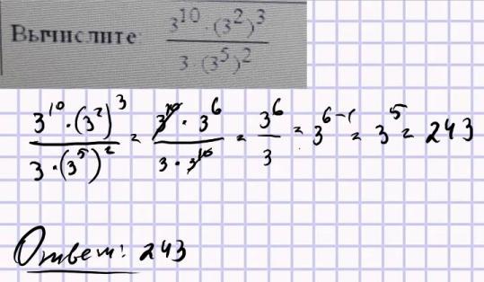
Ответ дал: Ilyazov45
1

Объяснение:

....................................................................................................

Приложения:
Вас заинтересует