• Предмет: Математика
  • Автор: Barbi54
  • Вопрос задан 3 года назад

Срочно пожалуйста
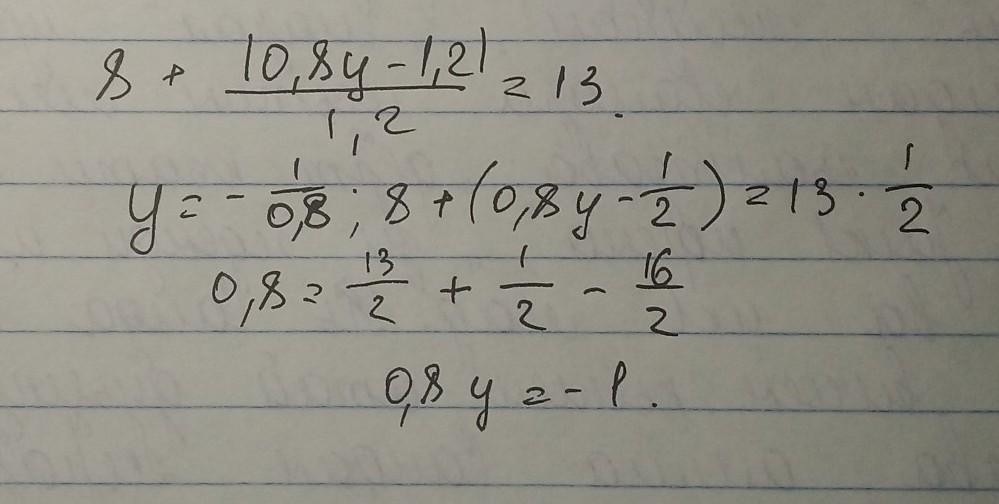
8+(0,8y-1,2)/1,2​

Приложения:

Ответы

Ответ дал: Pikachu938
1

ответ: 0,8 y=-1

как то так..

Приложения:

Barbi54: Я запуталась
Ответ дал: NataMon
1

Ответ:

у = 9

Пошаговое объяснение:

8 + (0,8y - 1,2)/1,2​ = 13

8*1,2 + 0,8у - 1,2 = 13 * 1,2

0,8у = 15,6 - 9,6 + 1,2

0,8у = 6 + 1,2

0,8у = 7,2

у = 7,2/0,8

у = 9

Проверим:

8+(0,8*9 - 1,2)/1,2 = 13

8 + (7,2 - 1,2)/1,2 = 13

8 + 6/1,2 = 13

8 + 5 = 13

13 = 13


Barbi54: Я запуталась
Вас заинтересует